Black Hole Temperature
The temperature of a black hole is calculated as if the electromagnetic radiation it emits came from a blackbody.
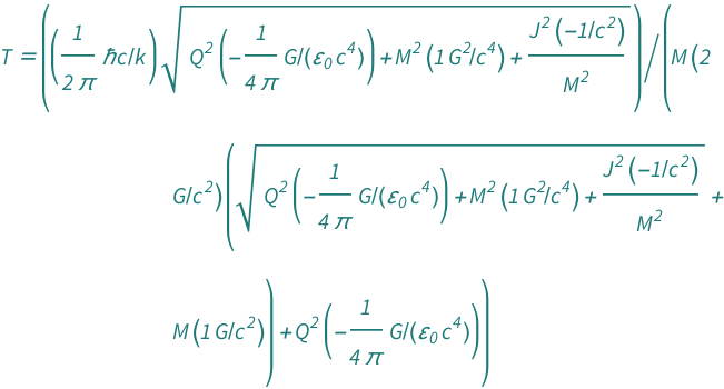
The temperature at the horizon of a black hole decreases with increasing mass or charge, and increases with increasing angular momentum.
Formula
![Copy to Clipboard QuantityVariable["T", "Temperature"] == (Quantity[1/(2*Pi), ("ReducedPlanckConstant"*"SpeedOfLight")/"BoltzmannConstant"]*Sqrt[(Quantity[-1, "SpeedOfLight"^(-2)]*QuantityVariable["J", "AngularMomentum"]^2)/QuantityVariable["M", "Mass"]^2 + Quantity[1, "GravitationalConstant"^2/"SpeedOfLight"^4]*QuantityVariable["M", "Mass"]^2 + Quantity[-1/(4*Pi), "GravitationalConstant"/("ElectricConstant"*"SpeedOfLight"^4)]*QuantityVariable["Q", "ElectricCharge"]^2])/(Quantity[-1/(4*Pi), "GravitationalConstant"/("ElectricConstant"*"SpeedOfLight"^4)]*QuantityVariable["Q", "ElectricCharge"]^2 + Quantity[2, "GravitationalConstant"/"SpeedOfLight"^2]*QuantityVariable["M", "Mass"]*(Quantity[1, "GravitationalConstant"/"SpeedOfLight"^2]*QuantityVariable["M", "Mass"] + Sqrt[(Quantity[-1, "SpeedOfLight"^(-2)]*QuantityVariable["J", "AngularMomentum"]^2)/QuantityVariable["M", "Mass"]^2 + Quantity[1, "GravitationalConstant"^2/"SpeedOfLight"^4]*QuantityVariable["M", "Mass"]^2 + Quantity[-1/(4*Pi), "GravitationalConstant"/("ElectricConstant"*"SpeedOfLight"^4)]*QuantityVariable["Q", "ElectricCharge"]^2]))](https://www.wolframcloud.com/objects/resourcesystem/marketplacestorage/resources/d1d/d1deb893-0fe3-4916-9d93-22d60cb96978/Webpage/FormulaImage.png)
Forms
Examples
Get the resource:
| In[1]:= |
| Out[1]= | ![]() |
Get the formula:
| In[2]:= |
| Out[2]= | ![]() |
Use some values:
| In[3]:= |
| Out[3]= | ![]() |


