Acceleration Number
The acceleration number characterizes acceleration flow.
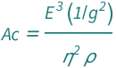
The acceleration number equals the elastic modulus cubed divided by the product of the gravitational acceleration, dynamic viscosity squared and the mass density.
Formula
![Copy to Clipboard QuantityVariable["Ac", "AccelerationNumber"] == (Quantity[1, "StandardAccelerationOfGravity"^(-2)]*QuantityVariable["E", "ElasticModulus"]^3)/(QuantityVariable["η", "DynamicViscosity"]^2*QuantityVariable["ρ", "MassDensity"])](https://www.wolframcloud.com/objects/resourcesystem/marketplacestorage/resources/7c6/7c68d7a0-1ca4-4889-bd0f-6246c6c32ee2/Webpage/FormulaImage.png)
| symbol | description | physical quantity |
|---|---|---|
| Ac | acceleration number | "AccelerationNumber" |
| E | elastic modulus | "ElasticModulus" |
| η | dynamic viscosity | "DynamicViscosity" |
| ρ | mass density | "MassDensity" |
Forms
Examples
Get the resource:
| In[1]:= |
| Out[1]= | ![]() |
Get the formula:
| In[2]:= |
| Out[2]= | ![]() |
Use some values:
| In[3]:= |
| Out[3]= | ![]() |


