Wolfram.com
WolframAlpha.com
WolframCloud.com
Wolfram Language
Example Repository
Ready-to-use examples of Wolfram Language
Primary Navigation
Categories
Astronomy
Audio Processing
Calculus
Cellular Automata
Chemistry
Complex Systems
Computer Science
Computer Vision
Control Systems
Creative Arts
Data Science
Engineering
Finance & Economics
Finite Element Method
Food & Nutrition
Geography
Geometry
Graphs & Networks
Image Processing
Life Sciences
Machine Learning
Mathematics
Optimization
Physics
Probability & Statistics
Puzzles and Recreation
Quantum Computation
Signal Processing
Social Sciences
System Modeling
Tabular Processing
Text & Language Processing
Time-Related Computation
Video Processing
Visualization & Graphics
Alphabetical List
Submit a New Example
Learn More about
Wolfram Language
Related Pages
Related Symbols
StateSpaceModel
SystemsModelDelay
BodePlot
SystemsModelDelayApproximate
OutputResponse
PIDTune
Related Categories
Control Systems
Engineering
Mathematics
System Modeling
Model and Control the Cutting Process of a Lathe
Example Notebook
Open in Cloud
Download Notebook
The cutting process of a lathe contains time delays:
I
n
[
1
]
:
=
I
n
[
2
]
:
=
e
q
n
=
m
x
'
'
[
t
]
+
c
x
'
[
t
]
+
k
x
[
t
]
-
α
(
f
[
t
]
+
x
[
t
]
-
x
[
t
-
τ
]
)
/
.
τ
2
π
ω
;
Construct a symbolic state-space model of the process:
I
n
[
3
]
:
=
s
s
m
=
S
t
a
t
e
S
p
a
c
e
M
o
d
e
l
e
q
n
,
{
x
[
t
]
,
x
'
[
t
]
}
,
f
[
t
]
,
x
[
t
]
,
t
,
l
a
b
e
l
s
O
u
t
[
3
]
=
f
x
0
1
0
x
'
-
k
-
α
+
α
2
π
ω
m
-
c
m
-
α
m
x
1
0
0
Set numerical values for the model's parameters:
I
n
[
4
]
:
=
p
a
r
s
=
{
m
0
.
7
5
,
ω
3
,
α
1
0
,
k
0
.
1
,
c
5
,
τ
3
}
;
s
s
m
n
=
s
s
m
/
.
p
a
r
s
O
u
t
[
4
]
=
f
x
0
1
0
x
'
1
.
3
3
3
3
3
-
1
0
.
1
+
1
0
2
π
3
-
6
.
6
6
6
6
7
-
1
3
.
3
3
3
3
x
1
0
0
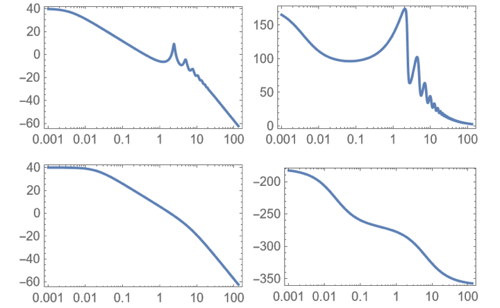
Its frequency response exhibits chattering typical of a time-delay system:
I
n
[
5
]
:
=
B
o
d
e
P
l
o
t
[
s
s
m
n
,
P
l
o
t
L
a
y
o
u
t
"
H
o
r
i
z
o
n
t
a
l
G
r
i
d
"
,
I
m
a
g
e
S
i
z
e
S
m
a
l
l
]
O
u
t
[
5
]
=
Obtain the approximate, delay-free system:
I
n
[
6
]
:
=
s
s
m
n
0
=
S
y
s
t
e
m
s
M
o
d
e
l
D
e
l
a
y
A
p
p
r
o
x
i
m
a
t
e
[
s
s
m
n
,
0
]
O
u
t
[
6
]
=
f
0
1
.
0
-
0
.
1
3
3
3
3
3
-
6
.
6
6
6
6
7
1
.
x
-
1
3
.
3
3
3
3
0
0
The approximate, delay-free system exhibits no chattering in its frequency response:
I
n
[
7
]
:
=
B
o
d
e
P
l
o
t
[
s
s
m
n
0
,
P
l
o
t
L
a
y
o
u
t
"
H
o
r
i
z
o
n
t
a
l
G
r
i
d
"
,
I
m
a
g
e
S
i
z
e
S
m
a
l
l
]
O
u
t
[
7
]
=
Compare the step-response of the time-delay and delay-free systems:
I
n
[
8
]
:
=
o
r
=
T
a
b
l
e
[
O
u
t
p
u
t
R
e
s
p
o
n
s
e
[
s
y
s
,
U
n
i
t
S
t
e
p
[
t
]
,
{
t
,
0
,
3
0
}
]
,
{
s
y
s
,
{
s
s
m
n
,
s
s
m
n
0
}
}
]
;
P
l
o
t
%
,
{
t
,
0
,
3
0
}
,
p
l
o
t
O
p
t
s
O
u
t
[
8
]
=
Design a PI controller for the delay-free system to stabilize the movement of the lathe:
I
n
[
9
]
:
=
p
i
d
=
P
I
D
T
u
n
e
[
s
s
m
n
0
,
"
P
I
"
,
"
D
a
t
a
"
]
O
u
t
[
9
]
=
S
y
s
t
e
m
s
M
o
d
e
l
C
o
n
t
r
o
l
l
e
r
D
a
t
a
D
e
s
i
g
n
:
Z
i
e
g
l
e
r
N
i
c
h
o
l
s
P
I
D
»
P
a
r
a
l
l
e
l
p
a
r
a
m
e
t
e
r
s
:
{
-
2
.
9
9
,
-
5
.
9
6
,
0
.
}
Evaluate its response to a step input:
I
n
[
1
0
]
:
=
O
u
t
p
u
t
R
e
s
p
o
n
s
e
[
p
i
d
[
"
R
e
f
e
r
e
n
c
e
O
u
t
p
u
t
"
]
,
U
n
i
t
S
t
e
p
[
t
]
,
{
t
,
0
,
1
0
}
]
;
P
l
o
t
[
%
,
{
t
,
0
,
1
0
}
,
P
l
o
t
R
a
n
g
e
A
l
l
]
O
u
t
[
1
0
]
=
Source Metadata
Citation:
Gu, Kharitonov and Chen 2003, Stability of Time-Delay Systems, page 2
Related Symbols
StateSpaceModel
SystemsModelDelay
BodePlot
SystemsModelDelayApproximate
OutputResponse
PIDTune
Publisher Information
Contributed by:
Wolfram Controls Team