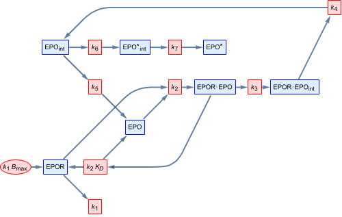
Endocytosis is the process by which material external to a cell is actively transported across the cell membrane into the cytoplasm. The figure below from Hengl et al. describes the entire metabolic process, including recycling of the transporters and expulsion of degradation products, pictorially: